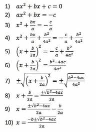
Factoring Ax2 Bx C Worksheet Answer Key
Camila Farah

Some of the worksheets for this concept are factoring trinomials a 1 date period factoring practice factoring trinomials of the form ax2 bx c algebra 1 factoring polynomials name factoring trinomials a 1 date period factoring quadratic expressions factoring polynomials work answer key.
Use factoring to solve real life problems. To factor polynomials of the form ax2 bx c where a 1 fi rst look for the gcf of the terms of the polynomial and then. In the mean time we talk related with ax2 bx c factoring worksheets below we will see several variation of images to complete your references. 2 x 2 13x 15 2.
Factoring a x 2 bx c factor each trinomial. 4 10 20 3 y 2 18 x 4 15x3 56x2 9p2 72 3x4 21x3 lox b 3b3 9a2 4y2 10x3 24 10b2 75x2 o 0 solve each equation by factoring 15. The factor with the greater absolute value is positive. 4 x 2 24x 27.
Factors of 20 sum 1 and 20 19 2 and 10 8 4 and 5 1 x. 7henfactoringax bx c firstfindfactorsofaandc 4henchecktheproducts. Look for factors of 20 whose sum is 1. Home factoring ax2 bx c worksheet factoring ax2 bx c worksheet answer key.
RELATED ARTICLE :
- flirty good morning texts for your crush
- flea bites on humans vs bed bugs
- flat twist out on short natural hair
Factoring ax2 bx c worksheet written by tri margareta. The factors needed are 5 and 4. If the trinomial has a greatest common factor then it is a best practice to first factor out the gcf before attempting to factor it into a product of binomials. 2 x 20 x x b 1 and c 20.
392 chapter 7 polynomial equations and factoring 7 6 lesson wwhat you will learnhat you will learn factor ax2 bx c. Saturday november 25 2017 add comment edit. If a trinomial of the form a x 2 b x c factors into the product of two binomials then the coefficient of the middle term will be the sum of certain products of factors of the first and last terms. 3 x 2 10x 8 3.
Factoring ax2 bx c in section 7 5 you factored polynomials of the form ax2 bx c where a 1.
Image Gallery
Source : pinterest.com


















